The Arrhenius equation may not always accurately predict semiconductor lifetime as a function of junction temperature. Here we discuss some of the reasons why it may fall short, along with how sensitive it can be to the inputs you provide.
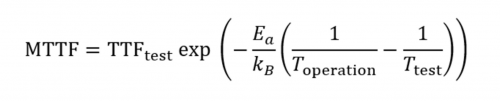
To remind ourselves, this is the commonly used Arrhenius equation for predicting lifetime:
Let’s take a closer look at these variables. TTF_test is the lifetime of the device measured in an accelerated life test at temperature T_test. These parameters can usually be found from the manufacturer’s testing procedures, or can be based on a testing standard. The Boltzmann constant k_B is known since it is a physical constant, and T_operation is chosen by the device integrator. Therefore, the main parameter in this equation in determining the mean time to failure MTTF is the apparent activation energy E_a.
The apparent activation energy proves challenging to identify – it would be convenient if it were an inherent material property for a given semiconductor, but empirically there is a large spread in the values it can take on. It is usually derived by doing a handful of lifetime tests at different temperatures (T_test) and curve fitting based on the resulting lifetimes, assuming the Arrhenius equation form.
However, several complications can arise. First, there are many thermal failure mechanisms that can occur, and they don’t all behave the same way with increasing temperature. These mechanisms can range from corrosion, electromigration, failure due to manufacturing defects, filament formation, contact interface stress relaxation, fatigue of package-to-board interconnects, and others [1]. Some of these failure mechanisms (e.g., corrosion and electromigration) show very strong Arrhenius behavior, while others don’t show such a clear relationship at all. If one of the non-Arrhenius mechanisms occurs, that test would be an invalid data point in an Arrhenius curve fit.
Another issue is that many of these failure mechanisms are also highly dependent on geometry and operational environment. Even for two devices that use the same material (e.g., GaN), it is hard to parse out a single consistent value for E_a. Two different device geometries, or even the same device operating under different conditions, can show different values of E_a depending on what the exact feature length scales are, how they are soldered or bonded, or what voltages and currents they see. So, the Arrhenius equation is only really valid for a given device operating in the same conditions as its test, and whose failure mechanism is due to an Arrhenius process. Generally speaking, that is pretty limited.
To make things even more complicated, besides variability in the device geometry or failure mechanism, everyone working with semiconductors determines the temperatures T_operation and T_test their own way. The closest thing to a standard is to use some combination of an IR camera with thermal FEA analysis, but each IR camera requires calibration and can be of different resolution, while thermal models vary in how they apply boundary conditions and mesh size. This introduces inconsistencies in the curve fit that is generated to estimate E_a, and produces additional variability when end users and manufacturers measure temperature differently. As we saw previously, the lifetime can be very sensitive to temperature, clipping in half for a 10°C difference in the channel temperature.
In spite of these complexities, the table below summarizes some important parameters for identifying device lifetimes in some common semiconductor materials:
Let’s take a look at how sensitive the Arrhenius expression is to different activation energies. Here we assume a reference value of 1 million hours at a temperature of 250°C. This corresponds to a typical GaN device, so we’ll plot three activation energies in the range of GaN devices.
As we get further from the lifetime test reference point (250°C), the sensitivity gets higher and higher, with a five order of magnitude spread at 50°C! Even at 200°C (an operating temperature that could easily be chosen to improve lifetime while sustaining a high power) there is an order of magnitude difference in lifetime between the activation energies.
Predicting device lifetime is a tough task, as many failure mechanisms could occur for each device scenario. We can get a first-order comparison point using the Arrhenius equation, but relying on it for precise predictions would be close to impossible given the uncertainty involved in evaluating its constituent parameters.
Discover how JetCool’s liquid cooling solutions can help extend semiconductor lifetime.
References
(1) Wilcoxon, Ross, and Principal Mechanical Engineer. “Does a 10 C Increase in Temperature Really Reduce the Life of Electronics by Half?.” Thermal Management of Onboard Charger in E-Vehicles Reliability of Nano-sintered Silver Die Attach Materials Thermal Energy Harvesting with (2017): 6









