One of the biggest mistakes a thermal engineer can make in estimating the junction temperature of a semiconductor device is hidden in a second-order effect. Many know that a material’s properties can have a temperature dependence. However, many engineers overlook that the temperature dependence of thermal conductivity in semiconductors can have big consequences.
A common choice for power amplifiers, GaN-on-SiC serves as a good example. GaN-on-SiC devices have an epitaxial gallium nitride (GaN) layer on a silicon carbide (SiC) substrate. If you were to do a quick search of the thermal conductivity of GaN and SiC, you would likely find values on the order of ≈170W/m-K for epitaxial GaN and ≈390 W/m-K for bulk SiC (in the out-of-plane direction). But do these thermal conductivity numbers tell the whole story?
Not quite. The numbers quoted above are at 25°C. In reality, semiconductors operate at temperatures much higher than 25°C, with GaN devices typically operating up to 225°C. Since thermal conductivity can vary strongly with temperature, applying constant thermal conductivity values across all temperatures results in significant errors when carrying out thermal modeling.
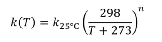
Generally, the temperature dependence of thermal conductivity in semiconductor devices can be modeled with the following expression:
where k_25°C is the value of thermal conductivity at 25°C, T is the temperature in Celsius, and n is a fitted parameter denoting the temperature dependence. The values for these parameters can be found in the literature [1], copied here:
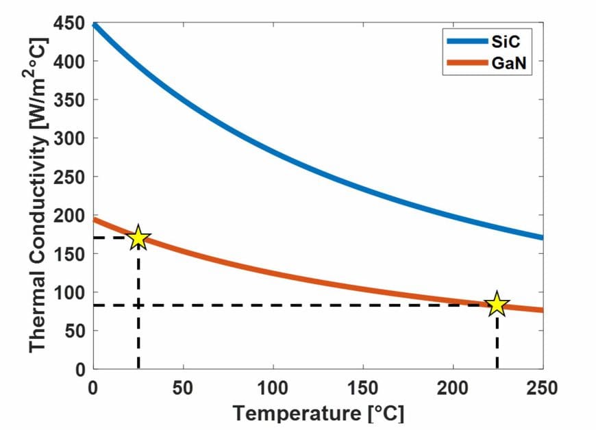
Unfortunately for device designers and engineers, the thermal conductivity drops as temperature increases (and not just a little!). This is what the dropoff looks like for GaN and SiC:
For a GaN device operating up to 225°C, the thermal conductivity at the elevated temperature is about 50% of what it would be at the reference temperature of 25°C. As the underlying SiC layer warms, its thermal conductivity is also reduced. Of course, this turns into a cascade effect where lower conductivity means higher temperature, which further lowers conductivity until equilibrium is reached. Therefore, if temperature dependence is not incorporated into the material properties, computed peak temperatures would be artificially low due to the inappropriately high thermal conductivity.
An example of this trend is below for a representative geometry.
The graph shows that the error from applying constant properties gets worse and worse as the peak temperature gets higher and higher. It is therefore critical to include temperature dependent properties in your thermal modeling efforts to be able to predict peak temperatures – especially for high-power devices!
References
[1] Bagnall, Kevin R., et al. “Experimental characterization of the thermal time constants of GaN HEMTs via micro-Raman thermometry.” IEEE Transactions on Electron Devices 64.5 (2017): 2121-2128.










